需要明确的是,“分数段”通常指的是“一分一段表”,它显示了每个分数有多少考生,以及累计考生人数,这对于考生定位自己的排名至关重要,而“分数线”则是省招生委员会划定的各类别、各批次的最低录取控制线。

(图片来源网络,侵删)
以下是2025年广东高考的官方分数线和部分分数段信息汇总:
2025年广东省普通高校招生录取最低分数线
这是官方发布的各批次最低控制分数线,是考生能否参与该批次投档的基本门槛。
| 批次类别 | 科目 | 最低分数线 |
|---|---|---|
| 本科院校 | ||
| 本科批次 | 文科 | 418 |
| 理科 | 360 | |
| 专科院校 | ||
| 专科批次 | 文科 | 210 |
| 理科 | 200 | |
| 重点高校(高分优先投档线) | ||
| 重点本科 | 文科 | 520 |
| 理科 | 485 |
注:
- 高分优先投档线:俗称“一本线”,但并非一本院校的录取线,达到这条线的考生,在本科批次投档时,会优先投给符合其志愿的院校,增加被录取的机会,简单理解,是高分考生的“保护线”。
- 本科批次线:这是当年所有本科院校招生的最低门槛,但并非所有本科院校都能录到这个分数线,热门院校和专业远高于此线。
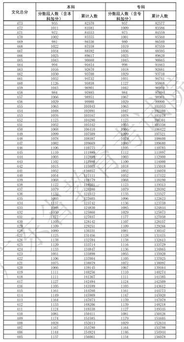
2025年广东省普通高考考生成绩分数段统计表(一分一段表)
由于完整的“一分一段表”非常长,这里为您呈现了理科和文科前几个高分段以及本科线附近的分数段,让您有一个直观的了解。

(图片来源网络,侵删)
理科考生成绩分数段统计表(部分)
| 分数 | 累计人数 | 本人数 |
|---|---|---|
| 700 | 2 | 2 |
| 699 | 2 | 0 |
| 698 | 3 | 1 |
| ... | ... | ... |
| 600 | 2868 | 172 |
| 590 | 4233 | 238 |
| 580 | 5926 | 322 |
| 570 | 7950 | 418 |
| 560 | 10337 | 532 |
| 550 | 13080 | 647 |
| 540 | 16151 | 775 |
| 530 | 19512 | 906 |
| 520 | 23156 | 1050 |
| 510 | 27051 | 1200 |
| 500 | 31164 | 1364 |
| 490 | 35472 | 1533 |
| 480 | 39930 | 1703 |
| 470 | 44521 | 1873 |
| 460 | 49232 | 2050 |
| 450 | 54059 | 2234 |
| 440 | 58991 | 2415 |
| 430 | 63989 | 2601 |
| 420 | 69034 | 2787 |
| 410 | 74101 | 2983 |
| 400 | 79184 | 3186 |
| 390 | 84272 | 3391 |
| 380 | 89351 | 3592 |
| 370 | 94416 | 3788 |
| 360 (本科线) | 99404 | 3888 |
| 350 | 104286 | 3882 |
| ... | ... | ... |
| 200 | 336446 | 5368 |
| 199 | 341814 | 5368 |
数据解读(理科):
- 全省理科最高分为700分,共2人。
- 达到重点线(485分)的考生累计人数约为 39,930 人。
- 达到本科线(360分)的考生累计人数约为 99,404 人。
- 也就是说,当年全省理科考生中,约有10万人达到了本科录取的最低门槛。
文科考生成绩分数段统计表(部分)
| 分数 | 累计人数 | 本人数 |
|---|---|---|
| 640 | 1 | 1 |
| 630 | 1 | 0 |
| 620 | 1 | 0 |
| ... | ... | ... |
| 580 | 28 | 8 |
| 570 | 45 | 12 |
| 560 | 70 | 18 |
| 550 | 106 | 26 |
| 540 | 156 | 36 |
| 530 | 226 | 51 |
| 520 | 316 | 70 |
| 510 | 428 | 92 |
| 500 | 565 | 117 |
| 490 | 730 | 145 |
| 480 | 925 | 175 |
| 470 | 1153 | 208 |
| 460 | 1412 | 243 |
| 450 | 1706 | 280 |
| 440 | 2034 | 318 |
| 430 | 2393 | 357 |
| 420 | 2780 | 395 |
| 410 | 3196 | 433 |
| 400 | 3635 | 471 |
| 390 | 4102 | 509 |
| 380 | 4590 | 548 |
| 370 | 5097 | 589 |
| 360 | 5622 | 627 |
| 350 | 6167 | 667 |
| 340 | 6725 | 709 |
| 330 | 7295 | 752 |
| 320 | 7875 | 792 |
| 310 | 8460 | 827 |
| 300 | 9052 | 864 |
| 290 | 9642 | 902 |
| 280 | 10236 | 936 |
| 270 | 10825 | 970 |
| 260 | 11414 | 1001 |
| 250 | 12006 | 1034 |
| 240 | 12592 | 1067 |
| 230 | 13177 | 1100 |
| 220 | 13762 | 1131 |
| 210 (专科线) | 14345 | 1164 |
| 209 | 15009 | 664 |
| ... | ... | ... |
| 150 | 184596 | 9150 |
数据解读(文科):
- 全省文科最高分为640分,共1人。
- 达到重点线(520分)的考生累计人数约为 316 人。
- 达到本科线(418分)的考生累计人数约为 2780 人。
- 达到专科线(210分)的考生累计人数约为 14,345 人。
- 当年全省文科考生中,达到本科线的考生比例相对理科要低很多。
如何使用这些信息?
- 定位排名:考生根据自己的高考分数,在“一分一段表”中找到对应的“累计人数”,这个数字就是你在全省的排名。
- 志愿填报:在参考往年大学录取分数线时,不能只看分数,更要看该分数对应的全省排名,因为每年的试卷难度不同,分数线会浮动,但相对排名(位次)是比较稳定的。
- 冲、稳、保:根据你的排名,选择往年录取位次高于你(冲刺)、与你相当(稳妥)和低于你(保底)的院校和专业,形成合理的志愿梯度。
希望这份详细的整理能帮助您了解2025年广东高考的分数情况!

(图片来源网络,侵删)
标签: 2025广东联考一分一段表查询 2025广东联考成绩分段公布时间 2025广东联考分数段公布官网入口
版权声明:除非特别标注,否则均为本站原创文章,转载时请以链接形式注明文章出处。