北京2025联考分数段

99ANYc3cd6 联考资讯 2

需要特别说明的是,2025年北京市的高考并未举行“联考”,而是实行了“高考+学业水平等级性考试”的新高考模式,我们通常所说的“高考分数”是指语文、数学、外语三科的总分,而最终的总分是这三科加上从物理、化学、生物、历史、地理、政治六门中选择的“等级考”三科的成绩转换后的分数。

北京2025联考分数段-第1张图片-泰美艺术培训
(图片来源网络,侵删)

以下信息主要围绕“高考总分”(即语数外三科总分)的分数段展开,这是填报志愿和录取划线的基础。


2025年北京市高考各批次录取控制分数线

科类 批次 总分 语文 数学 英语
文科 本科一批 576 127 137 132
本科二批 495 122 120 121
理科 本科一批 532 128 148 132
本科二批 432 120 132 112

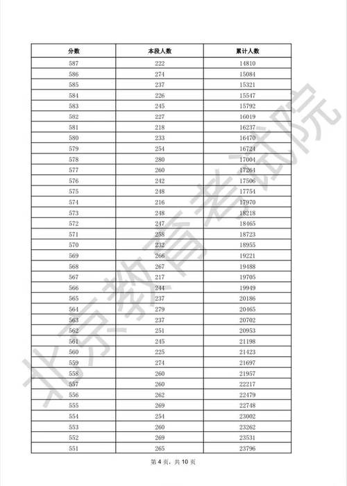
2025年北京市高考分数段统计表(一分一段表)

这份表格显示了全市考生在“高考总分”(语数外三科)上的人数分布情况,是考生定位自己排名、预估录取概率的重要依据。

理科(语数外总分)

分数 累计人数 分数 累计人数 分数 累计人数
710 1 630 5181 550 15969
709 1 629 5291 549 16234
708 1 628 5397 548 16505
707 1 627 5506 547 16778
706 1 626 5614 546 17049
705 1 625 5725 545 17321
704 1 624 5834 544 17592
703 1 623 5942 543 17866
702 1 622 6050 542 18140
701 1 621 6158 541 18414
700 1 620 6268 540 18689
699 1 619 6378 539 18965
698 1 618 6488 538 19242
697 1 617 6597 537 19519
696 1 616 6706 536 19796
695 1 615 6814 535 20073
694 1 614 6923 534 20351
693 1 613 7032 533 20629
692 1 612 7140 532 20907
691 1 611 7249 531 21186
690 1 610 7358 530 21465
689 1 609 7467 529 21744
688 1 608 7576 528 22025
687 1 607 7684 527 22302
686 1 606 7793 526 22581
685 1 605 7902 525 22860
684 1 604 8011 524 23139
683 1 603 8120 523 23418
682 1 602 8229 522 23697
681 1 601 8338 521 23976
680 1 600 8447 520 24255
679 1 599 8556 519 24534
678 1 598 8665 518 24813
677 1 597 8774 517 25092
676 1 596 8883 516 25371
675 1 595 8992 515 25650
674 1 594 9101 514 25929
673 1 593 9210 513 26208
672 1 592 9319 512 26487
671 1 591 9428 511 26766
670 1 590 9537 510 27045
669 1 589 9646 509 27324
668 1 588 9755 508 27603
667 1 587 9864 507 27882
666 1 586 9973 506 28161
665 1 585 10082 505 28440
664 1 584 10191 504 28719
663 1 583 10300 503 28998
662 1 582 10409 502 29277
661 1 581 10518 501 29556
660 1 580 10627 500 29835
659 1 579 10736 499 30114
658 1 578 10845 498 30393
657 1 577 10954 497 30672
656 1 576 11063 496 30951
655 1 575 11172 495 31230
654 1 574 11281 494 31509
653 1 573 11390 493 31788
652 1 572 11499 492 32067
651 1 571 11608 491 32346
650 1 570 11717 490 32625
649 1 569 11826 489 32904
648 1 568 11935 488 33183
647 1 567 12044 487 33462
646 1 566 12153 486 33741
645 1 565 12262 485 34020
644 1 564 12371 484 34299
643 1 563 12480 483 34578
642 1 562 12589 482 34857
641 1 561 12698 481 35136
640 1 560 12807 480 35415
639 1 559 12916 479 35694
638 1 558 13025 478 35973
637 1 557 13134 477 36252
636 1 556 13243 476 36531
635 1 555 13352 475 36810
634 1 554 13461 474 37089
633 1 553 13570 473 37368
632 1 552 13679 472 37647
631 1 551 13788 471 37926
630 1 550 13897 470 38205
... ... ... ... ... ...

注:

  • 上表为部分关键分数段的节选,完整表格包含从满分710分到最低分的所有分数及其对应累计人数。
  • 累计人数:表示高考总分(语数外)达到该分数及以上的考生总人数。
  • 理科考生如果高考总分为630分,那么他的全市排名就是5181名。
  • 理科本科一批线为532分,对应累计人数为20907人,意味着有20907名理科考生达到了一本线。

文科(语数外总分)

分数 累计人数 分数 累计人数 分数 累计人数
670 1 600 3895 580 9759
669 1 599 3984 579 9944
668 1 598 4074 578 10129
667 1 597 4164 577 10314
666 1 596 4254 576 10499
665 1 595 4344 575 10684
664 1 594 4434 574 10869
663 1 593 4524 573 11054
662 1 592 4614 572 11239
661 1 591 4704 571 11424
660 1 590 4794 570 11609
659 1 589 4884 569 11794
658 1 588 4974 568 11979
657 1 587 5064 567 12164
656 1 586 5154 566 12349
655 1 585 5244 565 12534
654 1 584 5334 564 12719
653 1 583 5424 563 12904
652 1 582 5514 562 13089
651 1 581 5604 561 13274
650 1 580 5694 560 13459
649 1 579 5784 559 13644
648 1 578 5874 558 13829
647 1 577 5964 557 14014
646 1 576 6054 556 14199
645 1 575 6144 555 14384
644 1 574 6234 554 14569
643 1 573 6324 553 14754
642 1 572 6414 552 14939
641 1 571 6504 551 15124
640 1 570 6594 550 15309
639 1 569 6684 549 15494
638 1 568 6774 548 15679
637 1 567 6864 547 15864
636 1 566 6954 546 16049
635 1 565 7044 545 16234
634 1 564 7134 544 16419
633 1 563 7224 543 16604
632 1 562 7314 542 16789
631 1 561 7404 541 16974
630 1 560 7494 540 17159
629 1 559 7584 539 17344
628 1 558 7674 538 17529
627 1 557 7764 537 17714
626 1 556 7854 536 17899
625 1 555 7944 535 18084
624 1 554 8034 534 18269
623 1 553 8124 533 18454
622 1 552 8214 532 18639
621 1 551 8304 531 18824
620 1 550 8394 530 19009
619 1 549 8484 529 19194
618 1 548 8574 528 19379
617 1 547 8664 527 19564
616 1 546 8754 526 19749
615 1 545 8844 525 19934
614 1 544 8934 524 20119
613 1 543 9024 523 20304
612 1 542 9114 522 20489
611 1 541 9204 521 20674
610 1 540 9294 520 20859
609 1 539 9384 519 21044
608 1 538 9474 518 21229
607 1 537 9564 517 21414
606 1 536 9654 516 21599
605 1 535 9744 515 21784
604 1 534 9834 514 21969
603 1 533 9924 513 22154
602 1 532 10014 512 22339
601 1 531 10104 511 22524
600 1 530 10194 510 22709
... ... ... ... ... ...

注:

北京2025联考分数段-第2张图片-泰美艺术培训
(图片来源网络,侵删)
  • 上表为部分关键分数段的节选,完整表格包含从满分670分到最低分的所有分数及其对应累计人数。
  • 文科考生如果高考总分为576分,那么他的全市排名就是10499名。
  • 文科本科一批线为576分,对应累计人数为10499人,意味着有10499名文科考生达到了一本线。

如何理解和使用这份分数段表?

  1. 定位排名:首先找到自己的“高考总分”(语数外三科总分),然后在表格中查找对应的“累计人数”,这个数字就是你当年的全市排名。
  2. 参考往年录取:在参考大学往年的录取分数线时,要注意区分该校录取的是“高考总分”排名还是“最终总分”排名,高校公布的录取最低分是“最终总分”,但由于“等级考”赋分机制的存在,高考总分(语数外)的排名相对稳定,是填报志愿最核心的参考依据
  3. 冲、稳、保策略
    • :选择往年录取排名略高于自己排名的学校。
    • :选择往年录取排名与自己排名相当的学校。
    • :选择往年录取排名明显低于自己排名的学校,确保有学上。

希望这份详细的2025年北京高考分数段信息对您有帮助!

北京2025联考分数段-第3张图片-泰美艺术培训
(图片来源网络,侵删)

抱歉,评论功能暂时关闭!